Rumus Un Geometri. Selanjutnya , tinggal masukkan ke dalam rumus : Jumlah n suku pertama pada deret geometri. B adalah nilai dari beda atau selisih. Ada deret geometri untuk mencari suku un. Tentukan jumlah deret geometri tak hingga 8+4+2+1…. En esperant doublement s'eclater l'annĂ©e prochaine pour pessah 2021. S2 = u1 + u2 = 2 + 6 = 8. Tentukan u 9 dari barisan tersebut. Sn = jumlah suku pertama sampai. Jadi , rumus barisan bilangan geometri secara umum adalah. Sebuah barisan geometri , diketahui u3 = 18 dan u6 = 486. May 7, 2014 at 19:53. Pengertian rumus contoh soal barisan dan deret geometri beserta penjelasan lengkap terdapat dua jenis barisan dan deret di dalam matematika yaitu barisan dan deret aritmatika barisan dan deret geometri. Jumlah dari n suku pertama suatu barisan geometri adalah disebut sebagai deret geometri. Artinya, deret geometri ini memiliki limit.

Kumpulan Rumus Rumus Matematika Sekolah CARApedia
Kumpulan Rumus Rumus Matematika Sekolah CARApedia from carapedia.com

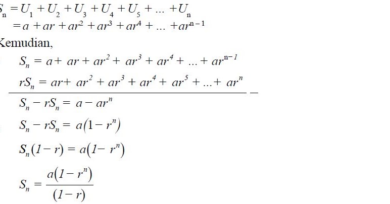
Jumlah deret geometri berhingga a + ar + ar² + ar³ +. Kita bahas satu per satu, ya! Sehingga, nilai rasio akan semakin kecil dan mendekati nol. Sn adalah jumlah n suku pertama dari deret aritmatika. R = u2/u1 = 6/3 = 2. Sn = jumlah suku pertama sampai. Jika n = ∞ hasil r^n = 0. Beberapa bangun geometri seperti segitiga, persegi, trapesium, limas digunakan dalam bidang arsitektur dan industri. Sehingga rumus deret geometri dapat diformulasikan dengan. Dengan a = suku awal dan r = rasio barisan geomteri.

S N = U 1 + U 2 + U 3 +.


Jumlah deret geometri berhingga a + ar + ar² + ar³ +. Rumus barisan aritmetika dan geometri. Jika n = ∞ hasil r^n = 0. Tentukan u 9 dari barisan tersebut. Beberapa contoh soal matematika mengenai barisan geometri tidaklah sulit dikerjakan. Rumus barisan dan deret geometri. 14+ contoh soal mencari un geometri. Artinya, deret geometri ini memiliki limit. Selanjutnya mari kita pelajari mengenai beberapa rumus barisan dan deret geometri yang bisa siswa dan siswi pelajari dibawah ini.

May 3, 2014 At 18:47.


Untuk rumus deret aritmatika, kamu bisa lihat dibawah ini yaa. Dengan a = suku awal dan r = rasio barisan geomteri. Pola bilangan fibonacci diperoleh dari menjumlah dua bilangan sebelumnya. S4 = u1 + u2 + u3 + u4 = 2 + 6 + 18 + 54 = 80. Seperti penjelasan singkat sebelumnya, barisan geometri merupakan susunan bilangan yang memiliki nilai rasio sama antara satu bilangan dengan bilangan berikutnya. Tentukan jumlah deret geometri tak hingga 8+4+2+1…. Rumus deret geometri yang bisa membantu siswa belajar matematika foto: Sn = jumlah suku pertama sampai. R = u2/u1 = 6/3 = 2.

Maka, Rumus Deret Geometri Konvergen Dapat Diperoleh Menjadi:


Beberapa bangun geometri seperti segitiga, persegi, trapesium, limas digunakan dalam bidang arsitektur dan industri. 2, 4, 8, 16, 32, 64,. Barisan geometri adalah barisan yang memiliki rasio tetap atau memiliki pengali yang tetap antar suku yang berurutan. Rumus pada barisan geometri dan deret geometri. Sehingga rumus deret geometri dapat diformulasikan dengan. Karna sebagian orang mengatakan kalau rumus geometri sangatlah susah dan rumit padahal tidak rujmus ini terkadang sering di lambangkan dengan (r) di antaranya rumus tersebut yaitu : R = rasio antar suku. Berikut ini adalah barisan dan deret geometri contoh soal: Contoh barisan bilangan fibonacci adalah 1, 1, 2, 3, 5, 8, 13, dan seterusnya.

Related Posts